Próba rozciągania polega na jednoosiowym odkształceniu odpowiednio przygotowanych próbek i pomiarze powstających sił. Badanie takie jest jednym z podstawowych źródeł informacji o mechanicznych właściwościach tworzyw sztucznych. Wielkościami mierzonymi przy tej próbie są odkształcenie (wydłużenie) oraz siła odkształcająca. Wydłużenie bezwzględne (delta l) jest to różnica między końcową a początkową długością odcinka pomiarowego próbki:

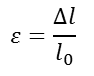
Wydłużenie względne jest to stosunek odkształcenia bezwzględnego do początkowej długości odcinka pomiarowego l0:

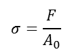
Naprężenie definiuje się najczęściej jako stosunek siły odkształcającej do początkowej powierzchni przekroju poprzecznego rozciągania próbki, zmierzonej przed przyłożeniem obciążenia

gdzie: F - siła odkształcająca ; A0 - powierzchnia początkowego przekroju poprzecznego
Schematycznie proces rozciągania próbki przedstawiono na poniższym rysunku:

Wybór aparatury zależy od celu badania i wymaganej dokładności.
Obecnie stosuje się nowoczesną aparaturę, za pomocą której można mierzyć naprężenia i odkształcenia przy dowolnej prędkości rozciągania(zginania, ściskania). Przebieg pomiaru obserwuje się na monitorze i zapisuje w pamięci komputera sprzężonego z przyrządem. Odpowiednie oprogramowanie ułatwia wybranie żądanego fragmentu, powiększenie go i następnie wydrukowanie.
Klasyczne stanowisko pomiarowe przedstawiono na poniższym rysunku:

Wytrzymałość na rozciąganie oblicza się ze wzoru

gdzie: F - maksymalna siła odkształcająca, A0 - powierzchnia początkowego przekroju poprzecznego odcinka pomiarowego
Wytrzymałość na rozciąganie jest więc maksymalnym naprężeniem, jakie materiał przenosi podczas krótkotrwałego rozciągania statycznego.


